关于“传承红色基因·学习百年奋斗史”——重走长征路线上活动获奖名单的
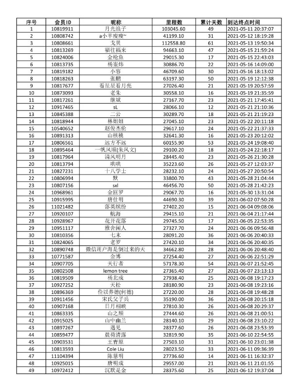
按照中共广元市直机关工委共青团广元市委《关于开展“传承红色基因·学习百年奋斗史”——重走长征路线上活动的通知》(广青联发〔2021〕2号)文件要求,经过后台数据统计,现将2021年7月1日24点前完成重走长征路线上活动排名前50名的团队、排名前100名的个人获奖名单公示如下(见附件)。
请公示中的个人和团队于7月22日之前在系统里完善联系方式,便于工作人员联系开展后续工作。如对公示中个人、团队有不同意见或认为存在违规、造假等方面问题,请于2021年7月22日24点前,以电话、来访等方式向团市委组宣部反映,联系电话:3268446,联系地址:广元市利州区东坝街道办事处新民街232号,反映问题要实事求是,电话中应该告知真实姓名。
附件:获奖名单
中共广元市直机关工委
共青团广元市委
2021年7月17日



备注:团队成员达3人及以上成团,不足3人的不算团队也不算个人;重走长征路线上活动截止时间7月1日24点。



Copyright © 2019 http://www.gyjgdjw.gov.cn All Right Reserved.蜀ICP备18034027号-1
版权所有: 广元机关党建您是第13948668位访客今日访问5724次
川公网安备51080002000098号